おかげさまで開設25周年INFOPORTAL.SMARTNETWORKERS.DE 創業祭

INFOPORTAL.SMARTNETWORKERS.DE

詳しくはこちら
マイストア マイストア 変更
  • 即日配送
  • 広告
  • 取置可能
  • 店頭受取

HOT ! 防衛医科大学校 数学入試問題40年 昭和51年度(1976)~平成27年度(2… 防衛医科大学校 数学入試問題40年 昭和51年度(1976)~平成27年度(

※INFOPORTAL.SMARTNETWORKERS.DE 限定モデル
YouTuberの皆様に商品の使い心地などをご紹介いただいております!
紹介動画はこちら

ネット販売
価格(税込)

32171

  • コメリカード番号登録、コメリカードでお支払いで
    コメリポイント : 6ポイント獲得

コメリポイントについて

購入個数を減らす
購入個数を増やす

お店で受け取る お店で受け取る
(送料無料)

受け取り店舗:

お店を選ぶ

近くの店舗を確認する

納期目安:

13時までに注文→17時までにご用意

17時までに注文→翌朝までにご用意

受け取り方法・送料について

カートに入れる

配送する 配送する

納期目安:

2025.11.28 8:44頃のお届け予定です。

決済方法が、クレジット、代金引換の場合に限ります。その他の決済方法の場合はこちらをご確認ください。

※土・日・祝日の注文の場合や在庫状況によって、商品のお届けにお時間をいただく場合がございます。

即日出荷条件について

受け取り方法・送料について

カートに入れる

欲しいものリストに追加

欲しいものリストに追加されました

防衛医科大学校 数学入試問題40年 昭和51年度(1976)~平成27年度(2… 防衛医科大学校 数学入試問題40年 昭和51年度(1976)~平成27年度(の詳細情報

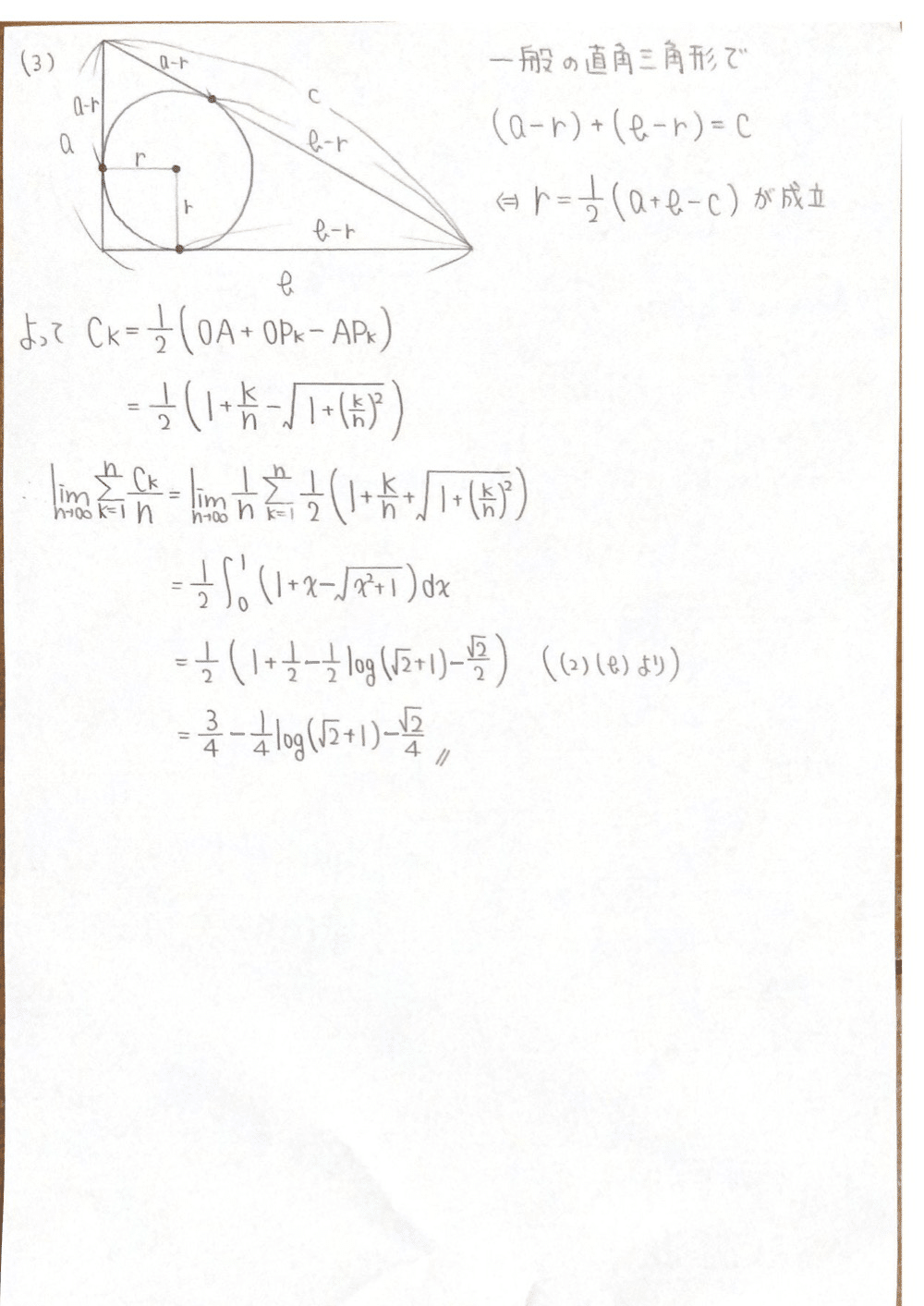
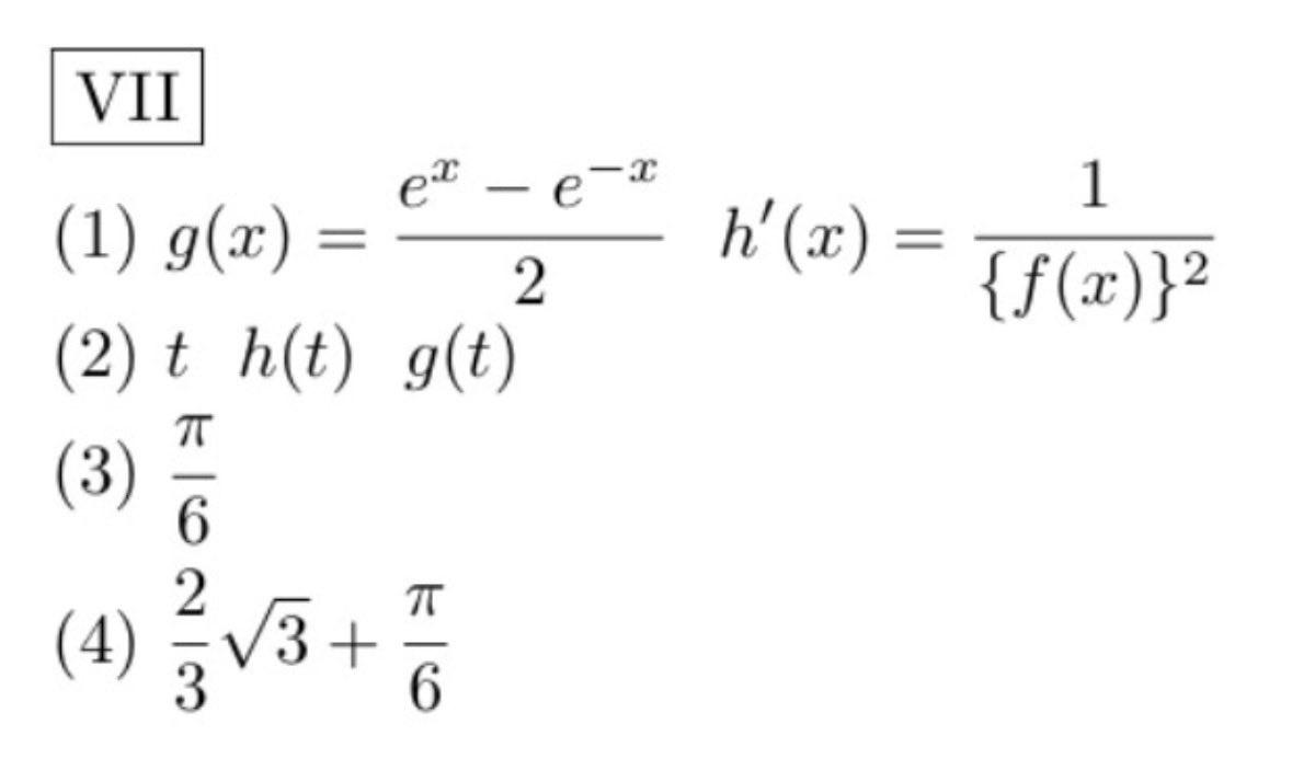
防衛医科大学校 数学入試問題40年 昭和51年度(1976)~平成27年度(。2017年 防衛医科大学校医学科入試 数学第13問(択一式) - YouTube。防衛医科大学校 医学部 2012年問題3|SUUGAKU.JP。新品未使用です。やり取りボックスです✨。簡潔答案】2021年度防衛医科大学校|数学家庭教師てつ。お役に立てたら幸いです。「防衛医科大学校 数学入試問題40年 昭和51年度(1976)~平成27年度(2015)」聖文新社編集部定価: ¥ 2500#聖文新社編集部 #本 #自然/数学
  • 防衛医科大学校 数学入試問題40年 昭和51年度(1976)~平成27年度(
  • 2017年 防衛医科大学校医学科入試 数学第13問(択一式) - YouTube
  • 防衛医科大学校 医学部 2012年問題3|SUUGAKU.JP
  • 簡潔答案】2021年度防衛医科大学校|数学家庭教師てつ

同じカテゴリの 商品を探す

ベストセラーランキングです

このカテゴリをもっと見る

この商品を見た人はこんな商品も見ています

近くの売り場の商品

このカテゴリをもっと見る

カスタマーレビュー

オススメ度  4.6点

現在、7646件のレビューが投稿されています。